|
Importing picked horizon into internal format
 
This module allows importing the picked horizons from ASCII files into gNavigator format.
 
Input files - provide the ASCII/text file format horizons as an input.
 
TimeScalar - scale factor coefficient.
StartRow - specify the starting row position of the ascii/txt file.
X position - specify the x-coordinate column position in the input file.
Y position - specify y-coordinate column position in the input file.
Z Position - specify Z or elevation column position in the input file.
Map interpolation - this section deals with horizon map interpolation.
Datum for imported horizons - specify the datum value of the imported input horizon
Interpolation step X - horizon map is interpolated. Specify the interpolation size in X direction. By default, 200m step size.
Interpolation step Y - specify the horizon map interpolation step size in Y direction. By default, 200m.
Replacement velocity - provide the replacement velocity value. By default, 2000 m/sec
Current horizon to paint -
 
Number of threads - One less than total no of nodes/threads to execute a job in multi-thread mode. Limit number of threads on main machine.
Skip - Skip - By default, FALSE(Unchecked). This option helps to bypass the module from the workflow.
 
PostStack Horizon - outputs poststack horizon as an output item.
Output horizons collection - outputs output horizons as a collection
Output horizons - generates output horizons which can be used as a reference/connection to other modules.
GVistaTableItem - generates the imported horizon information in a tabular format.
 
There is no information available for this module. So the user can ignore it.
 
In this example, we import an ASCII/Text format horizon to the Import poststack horizon module. This horizon might have generated in any other software. We import the same horizon by using this module and convert it into internal format horizon. Later, we can use this horizon.

Click on icon. It will pop-up a new window. Click inside the Input file name field. Click on 3 dots (...). Browse for the input file in ASCII format. Click OK.

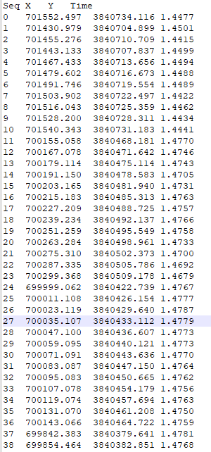
Let's say our input ASCII file is like this with 4 columns. Starting row is having the header information.
Now the user has to specify the X,Y&Z column positions in the parameters as per the input ASCII file.

Execute Import post stack horizon module. A pop-up window comes up if the horizon is already initiated. Just click Yes.

That's all. It successfully imported an ASCII format horizon into g-Platform internal format. Now this horizon can be used for any other module.
This module doesn't produce any vista items for visual QC.
To check whether the imported horizon is corrected or not, we can use Merge two gathers module and connect/reference the Output horizons from the Import poststack horizon to Horizon item parameter of Merge two gathers module.
As we can see in the below image, we make the connection/reference of Output horizons to Horizon item.

Execute the module. It will display the output horizon on the stack section.

 
There are no action items available for this module.
 
YouTube video lesson, click here to open [VIDEO IN PROCESS...]
 
Yilmaz. O., 1987, Seismic data processing: Society of Exploration Geophysicist
* * * If you have any questions, please send an e-mail to: support@geomage.com * * *
|