|
<< Click to Display Table of Contents >> Navigation: Advanced Seismic Technologies > MultiFocusing (MF) > Common Offset MultiFocusing (COMF) : Non-hyperbolic |
One of the main limitations of the zero-offset MF method is a quasi-hyperbolic approximation for actual travel-time surfaces. To increase the accuracy of the MF approximation and to take into account strong non-hyperbolicity of the traveltime surfaces, let us introduce a local MF time correction which will accurately approximate traveltime surface in the vicinity of an arbitrary non-zero-offset trace. Unlike zero-offset MF time approximation, it is valid for arbitrary source-receiver pairs in the vicinity of a non zero-offset trace. Figure 1 illustrates schematically the new method.

Figure 1
A ray starts at the surface point, with the angle
to the vertical. This ray hits the reflector at the point, O, and returns back to the surface point
with the angle
. A paraxial ray starts from an arbitrary source
located at distance
, crosses the ray
at point F and arrives at receiver
located at distance
after reflecting at point P. Parameters, such as curvature radius and spreading function for different wavefronts propagating along the ray, can be estimated using dynamic ray-theory fundamental solutions (Červený et al., 2001), allowing compact expression for the description of moveout traveltime.
Let us consider two fictitious wavefronts:
emitting from the point F upward to the surface, and
emitting from the point F downward, reflected at the reflector and emerging at the point
. These two fictitious wavefronts are characterized by two radii of curvatures
and
. The common-offset Multifocusing (COMF) establishes connection between two fictitious waves
and
and dynamic parameters of the common offset ray
, namely, radii of curvature of the common shot
, common receiver
and spreading function
. The travel time correction
in this case can be written as:
where
is near surface velocity, and
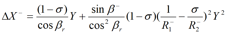
![]()
![]()
and focusing parameter
can be derived solving the following system of equations
![]()
![]()
where Y is the so-called asymmetrical coefficient.
The travel time correction for arbitrary CMP position and offset h (Figure 1) is a function of observation geometry, near surface velocity and 5 unknown parameters:
,
,
,
,
,
,
.
COMF traveltime formulas provide an adequate representation of arrival times for arbitrary offset and source-receiver configuration. The COMF correction formula is remarkably accurate even for strong curved reflectors. It should be emphasized that the moveout correction is an appropriate basis for the common-offset stacking procedure, as it can align reflection events in a large gather of seismic traces (super-base) that spans many CMP gathers. Implementation of the COMF method is technically challenging because it requires defining five moveout parameters instead of three parameters in zero-offset MultiFocusing and one parameter in standard NMO velocity analysis.
Practical implementation of the COMF requires determination of five parameters for each time sample of the common-offset image. Analysis consists of calculating a panel of correlation measure (e.g., semblance) as a function of unknown parameters, and choosing an appropriate correlation maximum. A manual procedure for MultiFocusing is impractical and an automatic mode is necessary. The developed procedure is based on coherency measure calculation and analysis of the MultiFocusing super-gather. The procedure consists of data correction according to different traveltime curves using the time correction equation and finding parameters, which correspond to the coherency measure maximum. The correlation procedure is repeated for each imaging point, for each offset and for each time sample. It is important to note that the described procedure can be applied locally within a small vicinity of each seismic trace and does not require global full offset approximation. In this way, we avoid hyperbolic or quasi-hyperbolic approximation for traveltime curves/surfaces as it is usually required in most time imaging procedures such as CMP, PSTM, ZOMF, etc. Outputs of the COMF are partially stacked common-offset sections and optimal wavefront parameters of the total wavefield. The results can provide enhanced prestack seismic records and the results can be used as accurate and reliable information for velocity model construction and subsequent depth imaging.
