|
Description
Linear Move out Correction
This module applies the linear kinematic corrections to seismic data. Standard linear kinematic correction (LMO) is calculated for waves with linear hodograph(Is a vectrorial visual presentation of the movement of a body or fluid).
Most types of waves in seismic exploration have hyperbolic hodographs; kinematic NMO correction is applied on these hodographs.
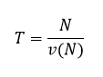
Calculation of LMO correction is made according to following formula:

T <ms>- statics correction
N - value, normally with distance as its unit of measure
V(N)- velocity at the value of N
Parameters
LMO
Choose the LMO type from the drop down menu. We have V const & LMO function.
LMO direction
LMO direction– velocity implementation method to seismic traces:
•Forward– apply LMO (apply moveout correction in seismic traces)
•Reverse– remove LMO correction
T0
Provide the first time. By default 0ms.
Reference velocity
Velocity value of wave distribution
|