|
<< Click to Display Table of Contents >> Navigation: Processing sequence > Geometry Assignment > Marine data > Loading coordinates from UKOOA P190 |
In g-Platform, we can import the offshore navigation data by using Load geometry from UKOOA P1/90 module. In this module, we need to read the navigation file at the Input data tab. Browse the file location and provide it here.
Module name "Load geometry from UKOOA P1/90"
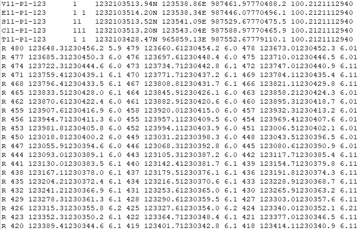
The following image is a representation of a P1/90 file.

In the above image, we can see that the Source info, Receiver info, line name, source x,y,z as well as receiver x,y,z in a single file. Generate the vista items using the Vista Groups and see all the available information and QC.
In the parameters section, we have an option Moving src/rcv. This is very useful in case either the source or receivers are moving.