|
Exporting trace headers/samples
 
Module performs printing of input user-defined trace headers and samples and then writes it to output column split text file (ASCII). Output data optionally can be time/trace decimated.
 
Input data type { Gather, Matrix } - choose the input data type from the drop down menu.

Input data type - Gather - Selected input data type as Gather
Input gather - connect/reference to the Output gather
Input data type - Matrix - Selected input data type as Matrix
Input Matrix - connect/reference to interpolated matrix
 
Output file - full path and output ASCII file name
Trace step - decimation traces for output ASCII file
Time step - decimation samples for output ASCII file

Output file - full path and output ASCII file name in case the Input data type is Matrix.

 
Skip - By default, FALSE(Unchecked). This option helps to bypass the module from the workflow.
 
There won't be any output data vista items from this module. The final output should be mentioned in the Parameters tab as an output file name.
 
There is no information available for this module so the user can ignore it.
 
In this example workflow, we are showing both the input data types i.e., gather & matrix.
Input data type as : Gather
We are reading a seismic gather and connect/reference the gather as an Input. Make sure that the Load data to RAM as YES in the Read seismic traces. Define the parameters like time step and trace step.

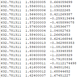
Provide the Output file name in the Parameters section as well as the time and trace step. Execute the module. Check the Output ASCII file. It will be something like this. In the image below, it is displaying Trace, Time and amplitude values.
Input data type as : Matrix
Similarly, the user can extract any other information from the matrix.
To obtain the matrix information, the user must create a Table if the input data doesn't have the tabular information, followed by creating the interpolation matrix.

Here, we've selected Traces. The user can select Source/Receivers/Bins from the drop menu to get the information for specific gather.

In create interpolation matrix, we connect/reference the Input trace headers & Table to the respective modules i.e., Output traces headers of Read seismic traces & Table out from Create table module.

Select the Input from table from the drop down menu and select the corresponding values to read from Table properties. We've selected source x, source y and source z

Execute the module to create the interpolation matrix. This interpolation matrix will be used as an input to Export gather/matrix to ASCII file module as input matrix.


The final output will be something like this

It displays source x, source y & source z values. Likewise, the user can export any trace headers information by creating an interpolation matrix and export them as an ASCII file. 1
 
There are no action items available for this module.
 
YouTube video lesson, click here to open [VIDEO IN PROCESS...]
 
Yilmaz. O., 1987, Seismic data processing: Society of Exploration Geophysicist
* * * If you have any questions, please send an e-mail to: support@geomage.com * * *

|